Saltar al contenido
Asesoramiento Preconcursal
Menú
Reestructuración Deudas
Esquema Procedimiento
Comunicación negociaciones
Plan Reestructuración
Homologación Judicial
Preguntas
Blog
Análisis resoluciones judiciales
Artículos procesos preconcursales
Sobre nosotros
¿Qué hacemos?
Contacto
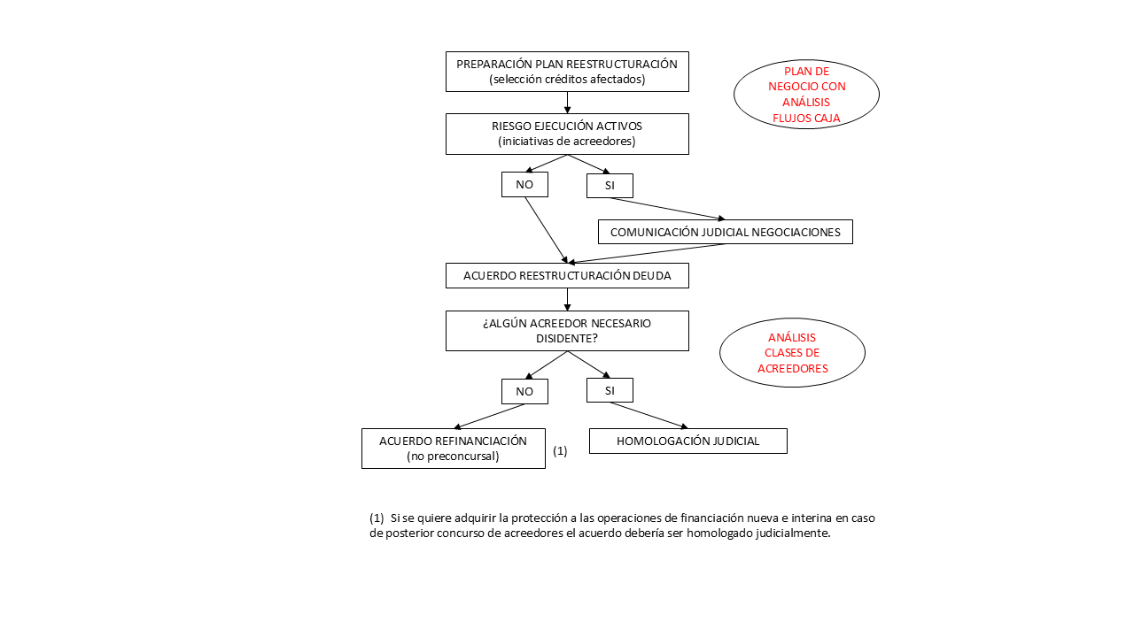
Esquema proceso reestructuración deuda en entorno preconcursal